MENU
当前位置: 首页» 首页栏目» 新闻

神彩v8专家对我国两大主产区‘富士’和‘嘎啦’苹果开展了基于品质特征的品种和产地同步判别研究

 

日前,神彩v8果品质量安全课题组对我国两大主产区的富士嘎啦苹果进行了基于品质特征的品种和产地同步判别研究,相关研究成果发表在中科院一区Top期刊《食品化学(Food Chemistry: X)》(中科院SCI 1区,JCR 1区,IF=6.5)上。

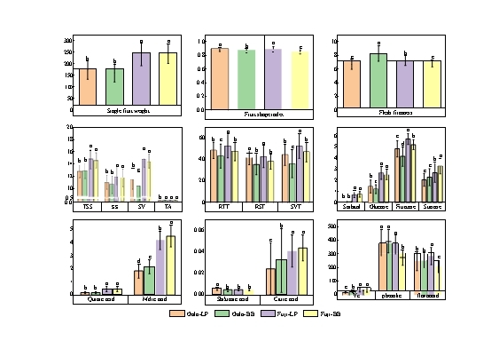
苹果的品质与其品种和产地密切相关。然而,不同品种和产地的苹果品质特征尚不清楚。本研究以富士嘎啦两种苹果为研究对象,对21项品质指标进行了比较分析,建立了线性判别分析和多层感知器神经网络模型对苹果品种和产地进行同步判别。结果表明,同一产地的富士苹果和嘎拉苹果有85.7%的品质指标存在显著差异。在黄土高原产区和渤海湾产区之间,嘎啦苹果的66.7%指标和富士苹果的38.1%指标存在显著差异。2种模型的判别准确率均在90%以上,且多层感知器神经网络模型优于线性判别分析模型。品种间的鉴定准确率高于产地间的鉴定准确率。本研究为苹果品质评价和进一步地理溯源研究奠定了基础,对苹果的生产、消费和品质评价具有一定的理论意义和实用价值。

果树研究所匡立学为该论文第一作者,该研究得到中国农业科学院科技创新工程(CAAS-ASTIP)、辽宁省自然科学基金面上项目(2023-MS-040)、中央级公益性科研院所基本科研业务费专项(1610182024021)等项目的资助。原文标题:Cultivar and origin authentication of ‘Fuji’ and ‘Gala’ apples from two dominant origins of China based on quality attributes通讯员:何文上

 

相关文章

TOP